The foundation of effective medical practice lies in the exchange between physicians and patients, where adept history-taking lays the groundwork for precise diagnosis, efficient management, and the establishment of enduring trust. Recent advancements in general-purpose large language models (LLMs) highlight the potential of artificial intelligence (AI) systems to plan, reason, and incorporate contextual nuances for engaging in naturalistic conversations. This progress opens new avenues for exploring the integration of AI into medicine, particularly in the development of fully interactive conversational AI.
Nevertheless, despite the demonstrated ability of LLMs to encode clinical knowledge and perform accurate single-turn medical question-answering, their conversational prowess has primarily been honed in domains outside clinical medicine.
In response to this challenge, in a new paper Towards Conversational Diagnostic AI, a research team from Google Research and Google DeepMind introduces AMIE (Articulate Medical Intelligence Explorer), an LLM-based AI system meticulously optimized for clinical history-taking and diagnostic dialogues, showcasing superior diagnostic accuracy and outperforming primary care physicians (PCPs).
AMIE undergoes instruction fine-tuning using a combination of real-world and simulated medical dialogues, complemented by diverse medical reasoning, question-answering, and summarization datasets. A notable component of this approach involves the design of a self-play based simulated dialogue environment with automated feedback mechanisms, enabling the scaling of AMIE’s capabilities across various medical contexts and specialties.
The iterative self-improvement process involves two self-play loops: an “inner” loop, where AMIE refines its behavior through in-context critic feedback in simulated conversations with an AI patient agent, and an “outer” loop, where the refined dialogues are incorporated into subsequent fine-tuning iterations. During online inference, AMIE employs a chain-of-reasoning strategy to progressively refine its responses based on the ongoing conversation, ensuring accurate and grounded replies in each dialogue turn.
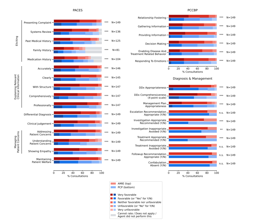
In an empirical study, the researchers conducted a blinded remote OSCE study with 149 case scenarios involving clinical providers in Canada, the UK, and India. This study facilitated a randomized and counterbalanced comparison of AMIE to PCPs when consulting with validated patient actors. AMIE demonstrated superior diagnostic accuracy across various measures (e.g., top-1 and top-3 accuracy of the differential diagnosis list). Evaluation from both specialist physician and patient actor perspectives favored AMIE in a majority of axes, with non-inferiority on the remaining axes.
The research team concludes that while further investigation is necessary before AMIE can be applied in real-world settings, the results mark a significant milestone in the development of conversational diagnostic AI.
The paper Towards Conversational Diagnostic AI on arXiv.
Author: Hecate He | Editor: Chain Zhang
We know you don’t want to miss any news or research breakthroughs. Subscribe to our popular newsletter Synced Global AI Weekly to get weekly AI updates.

Pingback: Google’s AMIE Marks A Significant Milestone Toward Conversational Diagnostic AI - VEVOLIA MAGAZINE
Osh University is a distinguished institution for obtaining an mbbs degree . Its comprehensive program and dedicated faculty ensure students receive a top-tier medical education.
When it comes to ear, nose, and throat health, trust the best ENT specialist in Lahore at Shalamar Hospital, where expertise meets compassionate care.
The fashionable shirts for boys from Tempo Garments will enhance your little mans style. Our collection features a variety of styles, from traditional to contemporary, all expertly crafted with premium materials and meticulous attention to detail.